介质电容器具有超快充放电速率和高功率密度的特性,其作为脉冲电源系统的核心,越来越受到人们的重视。然而,介质电容器占脉冲电源系统体积和重量的25%以上,这与现代电气和电子设备小型化和集成化的发展趋势相矛盾。因此,如何在介质材料中实现高能量存储性能成为发展高端脉冲功率电容器的主要障碍。弛豫铁电体是脉冲功率电容器最有前途的候选材料,其中钙钛矿结构铁电陶瓷在过去十年中取得了很大的发展。然而,作为第二大类铁电体,四方钨青铜结构陶瓷具有丰富的铁电和介电性能,但是由于晶粒异常生长导致的低耐电强度,其在脉冲功率应用中受到较少的关注。 
 
    近日,中国科学院上海硅酸盐研究所铁电陶瓷材料与器件课题组王根水研究员团队利用多尺度调控策略在Sr0.425La0.1Ba0.425Nb1.4Ta0.6O6(SLBNT)钨青铜结构无铅陶瓷中获得了优异的综合储能性能。该工作从多个尺度同时增强了钨青铜铁电陶瓷的弛豫行为和耐电强度。畴尺度上,A、B位共掺增强了局部异质性,从而打破了长程铁电有序,诱导出对外场响应迅速的极性纳米微区,大大降低了其剩余极化强度;晶粒尺度上,高耐火性的Ta2O5显著抑制晶粒生长,减小了陶瓷的平均晶粒尺寸,显著提高了陶瓷的电阻率;宏观能带尺度上,宽带隙氧化物Ta2O5 (~ 4 eV)和La2O3 (~ 4.3 eV)的取代可以扩大陶瓷的带隙,从而降低击穿过程中电子电离和碰撞的概率。晶粒尺寸的减小和带隙的拓宽显著提高了陶瓷的耐电强度。最终在574 kV/cm的电场下,Sr0.425La0.1Ba0.425Nb1.4Ta0.6O6获得了高储能密度(5.9 J/cm3)和储能效率(85.4%),显著超越了以前对钨青铜结构陶瓷的研究。同时,还表现出优异的温度稳定性(-120 ~ 120 )、频率稳定性(10 Hz ~ 250 Hz)和循环疲劳稳定性(高达106次)。此外,还实现了高功率密度(257.89 MW/cm3)和超快的放电速率(t0.9=16.4 ns)。该项工作突出了四方钨青铜结构弛豫铁电材料的研究潜力,开拓了脉冲功率电容器领域的另一个热点研究材料。 
 
    相关成果以“Superior Energy Density Achieved in Unfilled Tungsten Bronze Ferroelectrics via Multiscale Regulation Strategy”为题发表在Advanced Science (2023)上。论文第一作者是上海硅酸盐所硕博研究生彭浩南,通讯作者是王根水研究员和刘振副研究员,相关研究得到了国家自然科学基金、上海市浦江人才计划、中国科协青年人才托举工程等项目的资助和支持。 
 
    论文链接:https://doi.org/10.1002/advs.202300227 
 
   
 
 
  多尺度调控策略示意图 
 
   
 
  (a-b) SBN, SLBN, 和 SLBNT陶瓷的电滞回线,(c-d) SLBNT陶瓷的储能特性 
 
   
 
 
  SBN, SLBN, 和 SLBNT陶瓷的(a)XRD谱图,(b-e)拉曼光谱,(f-h)SEM,(i)高温阻抗,(j-k)椭圆偏振光谱 
 
   
 
 
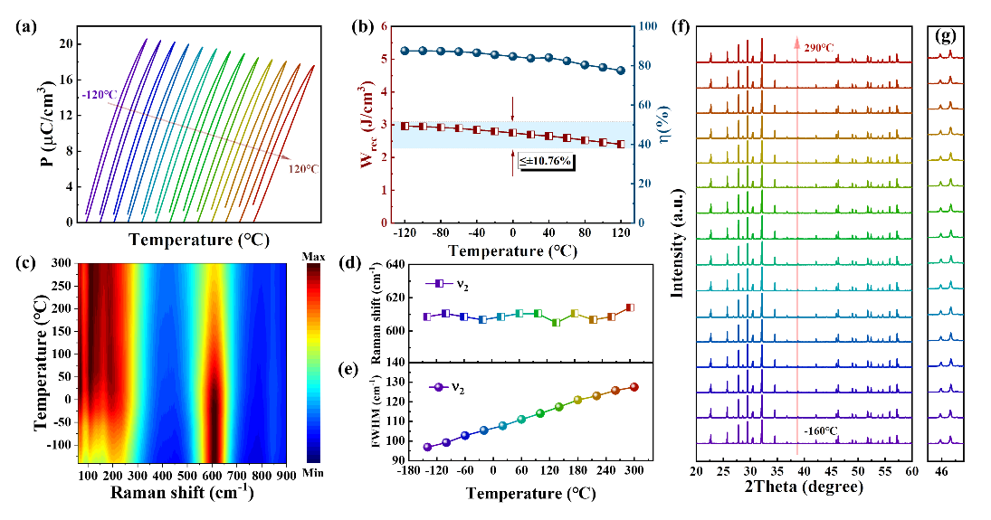
  SLBNT陶瓷的(a-b)储能特性温度稳定性,(c-e)变温拉曼光谱,(f)变温XRD谱图 
 
   
 
  SLBNT陶瓷的(a-c)储能特性疲劳与频率稳定性,(d、e)过阻尼放电性能,(f、g)欠阻尼放电性能,(h、i)变温过阻尼放电性能