热电转换技术利用热电材料直接将热能与电能进行相互转换,具有系统体积小、可靠性高、不排放污染物质、适用温度范围广、有效利用低密度能量等特点,在工业余废热和汽车尾气废热的回收利用、高精度温控和特种电源技术等领域具有广泛的应用。高效热电转换技术首先需要高性能的热电材料,其性能优值取决于材料的Seebeck系数、电导率、热导率。研究人员首先在金属材料中发现了热电效应,并随后在半导体中获得了多种性能优值接近1的化合物。近年来,一些热电材料研究新思想概念的出现,如‘声子玻璃-电子晶体’、‘声子液体’、和低维结构热电材料等,使热电材料的性能优值不断刷新。然而,尽管最近十年间热电材料的研究取得了明显进展,但稳定重复的最高热电优值一直低于2.0,探索材料的电热输运新效应并实现热电性能的进一步提升是目前热电材料科学研究的关键科学问题。
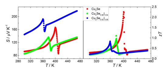
长期以来,研究人员集中关注常规的具有静态结构特征的化合物及其复合材料中性能调控规律,这是限制电热输运协同调控的重要原因。最近,中国科学院上海硅酸盐研究所史迅研究员、张文清研究员、陈立东研究员、许钫钫研究员与美国密歇根大学Ctirad Uher教授、上海同步辐射光源XRD线站、中国科学技术大学等合作,发现了材料动态相变过程中的临界特性可导致异常高的热电性能-巨热电效应,实现了利用临界相变特性调控电热输运。研究发现,硒化亚铜(Cu2Se)化合物在400 K左右存在结构相变,少量I元素掺杂可将相变温度降低至360 K左右。Cu2Se低温相呈现复杂的层状特征,层内包括Se原子层之间分布四层铜原子。发生相变时,Cu原子克服Se原子层的束缚能量势垒向层间扩散,最后形成立方结构。实验和理论研究均证明该结构相变为典型的二级相变,存在动态临界特性,导致巨大的结构、化学成分、密度等剧烈涨落,从而对电子和声子造成强烈的临界散射。该临界涨落以及散射机制的改变可显著增加材料的塞贝克(Seebeck)系数,并使材料电导率和热导率下降,最终使热电性能在结构变化过程中有3-7倍的提高,热电优值在临界点附近达到2.3。
临界相变中巨热电效应的发现引导人们在研究常规的具有静态结构特征材料性能的同时,更加关注具有动态结构特征的临界相变等引起的热电性能的异常变化,为热电性能的优化提供了新途径;同时,热电效应与临界现象的结合有望引出输运性能临界物理机制研究的新领域。本研究中发现的室温附近巨热电效应还有望在芯片和集成电路的超级制冷、以及需微小温差发电领域等发挥重要作用。
相关研究发表于《先进材料》(Advanced Materials,DOI: 10.1002/adma.201302660)杂志,并申请中国发明专利。研究结果获得了审稿人的高度评价:“相变提高热电性能尚属首次报道,将会引起该领域研究人员的广泛兴趣。通过利用相变过程中的临界散射特性提高热电材料性能,为热电材料的研究拓展了新视野。本工作在热电材料研究领域非常具有创新性……-”。
研究工作得到了国家基础研究973项目、国家自然科学基金创新研究群体、优秀青年科学基金和重点基金等资助和支持。
图1 Cu2Se1-xIx相变过程的热电性能
图2 Cu2Se的结构相变特性
文章链接:http://onlinelibrary.wiley.com/doi/10.1002/adma.201302660/abstract
高性能陶瓷和超微结构国家重点实验室
能源材料研究中心

当前位置:
